Física y Quimica

Cambios de estado. Temperatura de ebullición

Inicio

 

 

Cálculos

 
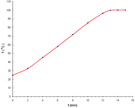
Tiempo (min) Temp (0C)
0 24,8
2 32,5
4 45,2
6 58,1
8 71,9
10 85,3
12 96,4
13 100,0
14 100,1
15 100,1
Aunque la experiencia es suficientemente ilustrativa, y puede deducirse sin más la constancia de la temperatura mientras persiste la ebullición, se recurre, una vez más, a la representación gráfica para dejar bien patente este hecho.

Con los datos recogidos se realiza una gráfica temperatura-tiempo. En la gráfica se puede observar que tiempo y la temperatura son proporcionales en el intervalo situado entre la temperatura inicial y la de ebullición. Una vez que se alcanza ésta la temperatura permanece inalterada (zona plana de la gráfica)

Realmente existe una zona, situada al inicio del calentamiento, en la que la gráfica no es lineal. Esto se puede explicar teniendo en cuenta que se comienza con el calefactor en frío y transcurren un par de minutos hasta que se alcanza la "temperatura de régimen".